胜率50%照样亏光本金?摧毁交易账户的数学陷阱,多数人十年后才懂

华尔街顶级交易员艾德·塞科塔(Ed Seykota)的那句话,我做了很多年交易之后,才真正听懂。
“长期生存与繁荣的关键,很大程度上取决于你在技术系统中所采用的资金管理方法。”
刚入行那几年,我完全不信这句话。
那时候我痴迷的是,进场点、指标参数、形态、信号质量……我以为只要进场够好,钱自然会来。
后来我才明白一件事:大多数交易者不是死在技术上,而是死在仓位上。
我曾经有过一段非常典型的经历。

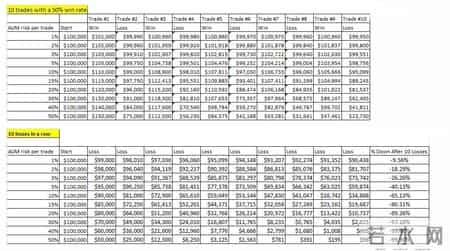
胜一笔,亏一笔;再胜一笔,再亏一笔。胜率差不多50%,盈亏交替出现的10笔交易中,听起来好像没什么问题。但账户曲线却在持续往下走,资金同样会被严重消耗。
我当时非常困惑,“明明没怎么连亏,为什么钱却越来越少?”
后来我才真正理解——这叫 资金毁灭的数学规律 。
亏损10%,需要11%的收益才能回本。
亏损20%,需要25%的收益才能回本。
亏损50%,需要100%的收益才能回本。
这不是感觉,这是算术。
如果你每笔交易承担1%的风险,连续10笔交易后,你大约回撤10%。
如果你每笔交易承担5%的风险,10笔交易后,账户直接腰斩。
而最讽刺的是,这完全可能发生在一个胜率50%的系统里。
那一刻我才意识到,我之前根本不是在做交易。
我是在 用仓位和市场对赌 。
后来我给自己的仓位管理立了一条铁规矩: 任何一次连续亏损,都不能把我“打出市场”。
如果你承担的风险过高,即使在一个胜率50%的系统中,只要出现几次连续亏损,你的资金就会被摧毁。
我们不可能成为一个“永远正确”的交易者。你必须做好防守,保护你的账户免受连续亏损的冲击。
每个交易者一定会经历胜率50%的阶段,也一定会经历连续亏损。真正的问题是:以你现在的风险敞口,你能否活过这些阶段?
我们之所以在交易中亏钱,是因为你在单笔交易中暴露了过多风险。之所以无法稳定盈利,是因为我们的亏损不断侵蚀你的资金。
我们必须通过合理的仓位管理,确保连续亏损不会出现爆仓。 真正让我账户难以翻身的,从来不是判断失误,而是 仓位管理失误 。
后来我读到纳西姆·尼古拉斯·塔勒布(Nassim Nicholas Taleb)的一句话,彻底点醒我:
“在不确定性下,做决策要关注“后果”(你可以知道的),而不是“概率”(你无法确定的)。”
概率你永远算不准。但后果,你可以完全控制。
我开始不再问自己:“这笔交易胜率多高?”而是问:“如果这笔亏了,对我有多伤?”
只要这个“伤害”在我能承受的范围内,我才允许自己进场。
很多人以为交易高手靠的是精准。但我越来越觉得,高手靠的是活得久。
你不需要每一笔都对。你只需要保证:每一笔错,都不会伤筋动骨。
因为只要你还在场上,机会永远会来。但如果你被一轮连续亏损踢出场外,后面再好的机会,都跟你无关。
本文标题:胜率50%照样亏光本金?摧毁交易账户的数学陷阱,多数人十年后才懂
本文链接:http://www.gzlysc.com/life/7932.html
声明:本站所有文章资源内容,如无特殊说明或标注,均为采集网络资源。如若本站内容侵犯了原著者的合法权益,可联系本站删除。
